8. OOP II: Building Classes#
8.1. Overview#
In an earlier lecture, we learned some foundations of object-oriented programming.
The objectives of this lecture are
cover OOP in more depth
learn how to build our own objects, specialized to our needs
For example, you already know how to
create lists, strings and other Python objects
use their methods to modify their contents
So imagine now you want to write a program with consumers, who can
hold and spend cash
consume goods
work and earn cash
A natural solution in Python would be to create consumers as objects with
data, such as cash on hand
methods, such as
buy
orwork
that affect this data
Python makes it easy to do this, by providing you with class definitions.
Classes are blueprints that help you build objects according to your own specifications.
It takes a little while to get used to the syntax so we’ll provide plenty of examples.
We’ll use the following imports:
import numpy as np
import matplotlib.pyplot as plt
8.2. OOP Review#
OOP is supported in many languages:
JAVA and Ruby are relatively pure OOP.
Python supports both procedural and object-oriented programming.
Fortran and MATLAB are mainly procedural, some OOP recently tacked on.
C is a procedural language, while C++ is C with OOP added on top.
Let’s cover general OOP concepts before we specialize to Python.
8.2.1. Key Concepts#
As discussed an earlier lecture, in the OOP paradigm, data and functions are bundled together into “objects”.
An example is a Python list, which not only stores data but also knows how to sort itself, etc.
x = [1, 5, 4]
x.sort()
x
[1, 4, 5]
As we now know, sort
is a function that is “part of” the list object — and hence called a method.
If we want to make our own types of objects we need to use class definitions.
A class definition is a blueprint for a particular class of objects (e.g., lists, strings or complex numbers).
It describes
What kind of data the class stores
What methods it has for acting on these data
An object or instance is a realization of the class, created from the blueprint
Each instance has its own unique data.
Methods set out in the class definition act on this (and other) data.
In Python, the data and methods of an object are collectively referred to as attributes.
Attributes are accessed via “dotted attribute notation”
object_name.data
object_name.method_name()
In the example
x = [1, 5, 4]
x.sort()
x.__class__
list
x
is an object or instance, created from the definition for Python lists, but with its own particular data.x.sort()
andx.__class__
are two attributes ofx
.dir(x)
can be used to view all the attributes ofx
.
8.2.2. Why is OOP Useful?#
OOP is useful for the same reason that abstraction is useful: for recognizing and exploiting the common structure.
For example,
a Markov chain consists of a set of states, an initial probability distribution over states, and a collection of probabilities of moving across states
a general equilibrium theory consists of a commodity space, preferences, technologies, and an equilibrium definition
a game consists of a list of players, lists of actions available to each player, each player’s payoffs as functions of all other players’ actions, and a timing protocol
These are all abstractions that collect together “objects” of the same “type”.
Recognizing common structure allows us to employ common tools.
In economic theory, this might be a proposition that applies to all games of a certain type.
In Python, this might be a method that’s useful for all Markov chains (e.g., simulate
).
When we use OOP, the simulate
method is conveniently bundled together with the Markov chain object.
8.3. Defining Your Own Classes#
Let’s build some simple classes to start off.
Before we do so, in order to indicate some of the power of Classes, we’ll define two functions that we’ll call earn
and spend
.
def earn(w,y):
"Consumer with inital wealth w earns y"
return w+y
def spend(w,x):
"consumer with initial wealth w spends x"
new_wealth = w -x
if new_wealth < 0:
print("Insufficient funds")
else:
return new_wealth
The earn
function takes a consumer’s initial wealth
The spend
function takes a consumer’s initial wealth
We can use these two functions to keep track of a consumer’s wealth as she earns and spends.
For example
w0=100
w1=earn(w0,10)
w2=spend(w1,20)
w3=earn(w2,10)
w4=spend(w3,20)
print("w0,w1,w2,w3,w4 = ", w0,w1,w2,w3,w4)
w0,w1,w2,w3,w4 = 100 110 90 100 80
A Class bundles a set of data tied to a particular instance together with a collection of functions that operate on the data.
In our example, an instance will be the name of particular person whose instance data consist solely of its wealth.
(In other examples instance data will consist of a vector of data.)
In our example, two functions earn
and spend
can be applied to the current instance data.
Taken together, the instance data and functions are called attributes.
These can be readily accessed in ways that we shall describe now.
8.3.1. Example: A Consumer Class#
We’ll build a Consumer
class with
a
wealth
attribute that stores the consumer’s wealth (data)an
earn
method, whereearn(y)
increments the consumer’s wealth byy
a
spend
method, wherespend(x)
either decreases wealth byx
or returns an error if insufficient funds exist
Admittedly a little contrived, this example of a class helps us internalize some peculiar syntax.
Here how we set up our Consumer class.
class Consumer:
def __init__(self, w):
"Initialize consumer with w dollars of wealth"
self.wealth = w
def earn(self, y):
"The consumer earns y dollars"
self.wealth += y
def spend(self, x):
"The consumer spends x dollars if feasible"
new_wealth = self.wealth - x
if new_wealth < 0:
print("Insufficent funds")
else:
self.wealth = new_wealth
There’s some special syntax here so let’s step through carefully
The
class
keyword indicates that we are building a class.
The Consumer
class defines instance data wealth
and three methods: __init__
, earn
and spend
wealth
is instance data because each consumer we create (each instance of theConsumer
class) will have its own wealth data.
The earn
and spend
methods deploy the functions we described earlier and that can potentially be applied to the wealth
instance data.
The __init__
method is a constructor method.
Whenever we create an instance of the class, the __init_
method will be called automatically.
Calling __init__
sets up a “namespace” to hold the instance data — more on this soon.
We’ll also discuss the role of the peculiar self
bookkeeping device in detail below.
8.3.1.1. Usage#
Here’s an example in which we use the class Consumer
to create an instance of a consumer whom we affectionately name
After we create consumer spend
method.
c1 = Consumer(10) # Create instance with initial wealth 10
c1.spend(5)
c1.wealth
5
c1.earn(15)
c1.spend(100)
Insufficent funds
We can of course create multiple instances, i.e., multiple consumers, each with its own name and data
c1 = Consumer(10)
c2 = Consumer(12)
c2.spend(4)
c2.wealth
8
c1.wealth
10
Each instance, i.e., each consumer, stores its data in a separate namespace dictionary
c1.__dict__
{'wealth': 10}
c2.__dict__
{'wealth': 8}
When we access or set attributes we’re actually just modifying the dictionary maintained by the instance.
8.3.1.2. Self#
If you look at the Consumer
class definition again you’ll see the word
self throughout the code.
The rules for using self
in creating a Class are that
Any instance data should be prepended with
self
e.g., the
earn
method usesself.wealth
rather than justwealth
A method defined within the code that defines the class should have
self
as its first argumente.g.,
def earn(self, y)
rather than justdef earn(y)
Any method referenced within the class should be called as
self.method_name
There are no examples of the last rule in the preceding code but we will see some shortly.
8.3.1.3. Details#
In this section, we look at some more formal details related to classes and self
You might wish to skip to the next section the first time you read this lecture.
You can return to these details after you’ve familiarized yourself with more examples.
Methods actually live inside a class object formed when the interpreter reads the class definition
print(Consumer.__dict__) # Show __dict__ attribute of class object
{'__module__': '__main__', '__firstlineno__': 1, '__init__': <function Consumer.__init__ at 0x7fe8ebc9e0c0>, 'earn': <function Consumer.earn at 0x7fe8ebc9d300>, 'spend': <function Consumer.spend at 0x7fe8ebc9e340>, '__static_attributes__': ('wealth',), '__dict__': <attribute '__dict__' of 'Consumer' objects>, '__weakref__': <attribute '__weakref__' of 'Consumer' objects>, '__doc__': None}
Note how the three methods __init__
, earn
and spend
are stored in the class object.
Consider the following code
c1 = Consumer(10)
c1.earn(10)
c1.wealth
20
When you call earn
via c1.earn(10)
the interpreter passes the instance c1
and the argument 10
to Consumer.earn
.
In fact, the following are equivalent
c1.earn(10)
Consumer.earn(c1, 10)
In the function call Consumer.earn(c1, 10)
note that c1
is the first argument.
Recall that in the definition of the earn
method, self
is the first parameter
def earn(self, y):
"The consumer earns y dollars"
self.wealth += y
The end result is that self
is bound to the instance c1
inside the function call.
That’s why the statement self.wealth += y
inside earn
ends up modifying c1.wealth
.
8.3.2. Example: The Solow Growth Model#
For our next example, let’s write a simple class to implement the Solow growth model.
The Solow growth model is a neoclassical growth model in which the per capita
capital stock
Here
is an exogenously given saving rate is a productivity parameter is capital’s share of income is the population growth rate is the depreciation rate
A steady state of the model is a
Here’s a class that implements this model.
Some points of interest in the code are
An instance maintains a record of its current capital stock in the variable
self.k
.The
h
method implements the right-hand side of (8.1).The
update
method usesh
to update capital as per (8.1).Notice how inside
update
the reference to the local methodh
isself.h
.
The methods steady_state
and generate_sequence
are fairly self-explanatory
class Solow:
r"""
Implements the Solow growth model with the update rule
k_{t+1} = [(s z k^α_t) + (1 - δ)k_t] /(1 + n)
"""
def __init__(self, n=0.05, # population growth rate
s=0.25, # savings rate
δ=0.1, # depreciation rate
α=0.3, # share of labor
z=2.0, # productivity
k=1.0): # current capital stock
self.n, self.s, self.δ, self.α, self.z = n, s, δ, α, z
self.k = k
def h(self):
"Evaluate the h function"
# Unpack parameters (get rid of self to simplify notation)
n, s, δ, α, z = self.n, self.s, self.δ, self.α, self.z
# Apply the update rule
return (s * z * self.k**α + (1 - δ) * self.k) / (1 + n)
def update(self):
"Update the current state (i.e., the capital stock)."
self.k = self.h()
def steady_state(self):
"Compute the steady state value of capital."
# Unpack parameters (get rid of self to simplify notation)
n, s, δ, α, z = self.n, self.s, self.δ, self.α, self.z
# Compute and return steady state
return ((s * z) / (n + δ))**(1 / (1 - α))
def generate_sequence(self, t):
"Generate and return a time series of length t"
path = []
for i in range(t):
path.append(self.k)
self.update()
return path
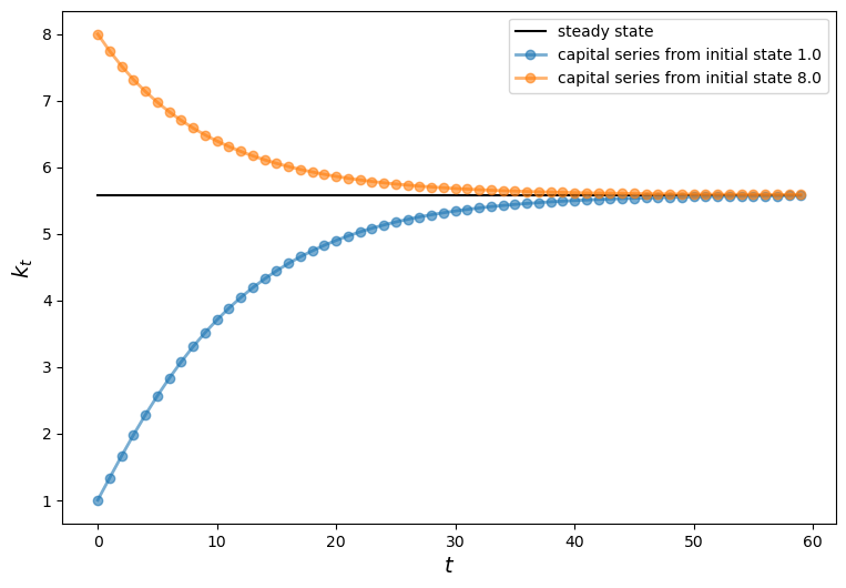
Here’s a little program that uses the class to compute time series from two different initial conditions.
The common steady state is also plotted for comparison
s1 = Solow()
s2 = Solow(k=8.0)
T = 60
fig, ax = plt.subplots(figsize=(9, 6))
# Plot the common steady state value of capital
ax.plot([s1.steady_state()]*T, 'k-', label='steady state')
# Plot time series for each economy
for s in s1, s2:
lb = f'capital series from initial state {s.k}'
ax.plot(s.generate_sequence(T), 'o-', lw=2, alpha=0.6, label=lb)
ax.set_xlabel('$t$', fontsize=14)
ax.set_ylabel('$k_t$', fontsize=14)
ax.legend()
plt.show()

8.3.3. Example: A Market#
Next, let’s write a class for competitive market in which buyers and sellers are both price takers.
The market consists of the following objects:
A linear demand curve
A linear supply curve
Here
is price paid by the buyer, is quantity and is a per-unit tax.Other symbols are demand and supply parameters.
The class provides methods to compute various values of interest, including competitive equilibrium price and quantity, tax revenue raised, consumer surplus and producer surplus.
Here’s our implementation.
(It uses a function from SciPy called quad for numerical integration—a topic we will say more about later on.)
from scipy.integrate import quad
class Market:
def __init__(self, ad, bd, az, bz, tax):
"""
Set up market parameters. All parameters are scalars. See
https://lectures.quantecon.org/py/python_oop.html for interpretation.
"""
self.ad, self.bd, self.az, self.bz, self.tax = ad, bd, az, bz, tax
if ad < az:
raise ValueError('Insufficient demand.')
def price(self):
"Compute equilibrium price"
return (self.ad - self.az + self.bz * self.tax) / (self.bd + self.bz)
def quantity(self):
"Compute equilibrium quantity"
return self.ad - self.bd * self.price()
def consumer_surp(self):
"Compute consumer surplus"
# == Compute area under inverse demand function == #
integrand = lambda x: (self.ad / self.bd) - (1 / self.bd) * x
area, error = quad(integrand, 0, self.quantity())
return area - self.price() * self.quantity()
def producer_surp(self):
"Compute producer surplus"
# == Compute area above inverse supply curve, excluding tax == #
integrand = lambda x: -(self.az / self.bz) + (1 / self.bz) * x
area, error = quad(integrand, 0, self.quantity())
return (self.price() - self.tax) * self.quantity() - area
def taxrev(self):
"Compute tax revenue"
return self.tax * self.quantity()
def inverse_demand(self, x):
"Compute inverse demand"
return self.ad / self.bd - (1 / self.bd)* x
def inverse_supply(self, x):
"Compute inverse supply curve"
return -(self.az / self.bz) + (1 / self.bz) * x + self.tax
def inverse_supply_no_tax(self, x):
"Compute inverse supply curve without tax"
return -(self.az / self.bz) + (1 / self.bz) * x
Here’s a sample of usage
baseline_params = 15, .5, -2, .5, 3
m = Market(*baseline_params)
print("equilibrium price = ", m.price())
equilibrium price = 18.5
print("consumer surplus = ", m.consumer_surp())
consumer surplus = 33.0625
Here’s a short program that uses this class to plot an inverse demand curve together with inverse supply curves with and without taxes
# Baseline ad, bd, az, bz, tax
baseline_params = 15, .5, -2, .5, 3
m = Market(*baseline_params)
q_max = m.quantity() * 2
q_grid = np.linspace(0.0, q_max, 100)
pd = m.inverse_demand(q_grid)
ps = m.inverse_supply(q_grid)
psno = m.inverse_supply_no_tax(q_grid)
fig, ax = plt.subplots()
ax.plot(q_grid, pd, lw=2, alpha=0.6, label='demand')
ax.plot(q_grid, ps, lw=2, alpha=0.6, label='supply')
ax.plot(q_grid, psno, '--k', lw=2, alpha=0.6, label='supply without tax')
ax.set_xlabel('quantity', fontsize=14)
ax.set_xlim(0, q_max)
ax.set_ylabel('price', fontsize=14)
ax.legend(loc='lower right', frameon=False, fontsize=14)
plt.show()

The next program provides a function that
takes an instance of
Market
as a parametercomputes dead weight loss from the imposition of the tax
def deadw(m):
"Computes deadweight loss for market m."
# == Create analogous market with no tax == #
m_no_tax = Market(m.ad, m.bd, m.az, m.bz, 0)
# == Compare surplus, return difference == #
surp1 = m_no_tax.consumer_surp() + m_no_tax.producer_surp()
surp2 = m.consumer_surp() + m.producer_surp() + m.taxrev()
return surp1 - surp2
Here’s an example of usage
baseline_params = 15, .5, -2, .5, 3
m = Market(*baseline_params)
deadw(m) # Show deadweight loss
1.125
8.3.4. Example: Chaos#
Let’s look at one more example, related to chaotic dynamics in nonlinear systems.
A simple transition rule that can generate erratic time paths is the logistic map
Let’s write a class for generating time series from this model.
Here’s one implementation
class Chaos:
"""
Models the dynamical system :math:`x_{t+1} = r x_t (1 - x_t)`
"""
def __init__(self, x0, r):
"""
Initialize with state x0 and parameter r
"""
self.x, self.r = x0, r
def update(self):
"Apply the map to update state."
self.x = self.r * self.x *(1 - self.x)
def generate_sequence(self, n):
"Generate and return a sequence of length n."
path = []
for i in range(n):
path.append(self.x)
self.update()
return path
Here’s an example of usage
ch = Chaos(0.1, 4.0) # x0 = 0.1 and r = 0.4
ch.generate_sequence(5) # First 5 iterates
[0.1, 0.36000000000000004, 0.9216, 0.28901376000000006, 0.8219392261226498]
This piece of code plots a longer trajectory
ch = Chaos(0.1, 4.0)
ts_length = 250
fig, ax = plt.subplots()
ax.set_xlabel('$t$', fontsize=14)
ax.set_ylabel('$x_t$', fontsize=14)
x = ch.generate_sequence(ts_length)
ax.plot(range(ts_length), x, 'bo-', alpha=0.5, lw=2, label='$x_t$')
plt.show()

The next piece of code provides a bifurcation diagram
fig, ax = plt.subplots()
ch = Chaos(0.1, 4)
r = 2.5
while r < 4:
ch.r = r
t = ch.generate_sequence(1000)[950:]
ax.plot([r] * len(t), t, 'b.', ms=0.6)
r = r + 0.005
ax.set_xlabel('$r$', fontsize=16)
ax.set_ylabel('$x_t$', fontsize=16)
plt.show()

On the horizontal axis is the parameter
The vertical axis is the state space
For each
The tail of the sequence shows us where the trajectory concentrates after settling down to some kind of steady state, if a steady state exists.
Whether it settles down, and the character of the steady state to which it does settle down, depend on the value of
For
For
For
Notice that there is no value of
8.4. Special Methods#
Python provides special methods that come in handy.
For example, recall that lists and tuples have a notion of length and that this length can be queried via the len
function
x = (10, 20)
len(x)
2
If you want to provide a return value for the len
function when applied to
your user-defined object, use the __len__
special method
class Foo:
def __len__(self):
return 42
Now we get
f = Foo()
len(f)
42
A special method we will use regularly is the __call__
method.
This method can be used to make your instances callable, just like functions
class Foo:
def __call__(self, x):
return x + 42
After running we get
f = Foo()
f(8) # Exactly equivalent to f.__call__(8)
50
Exercise 1 provides a more useful example.
8.5. Exercises#
Exercise 8.1
The empirical cumulative distribution function (ecdf) corresponding to a sample
Here
The Glivenko–Cantelli Theorem states that, provided that the sample is IID, the ecdf
Implement ECDF
, where
A given sample
are the instance data, stored asself.observations
.The class implements a
__call__
method that returns for any .
Your code should work as follows (modulo randomness)
from random import uniform
samples = [uniform(0, 1) for i in range(10)]
F = ECDF(samples)
F(0.5) # Evaluate ecdf at x = 0.5
F.observations = [uniform(0, 1) for i in range(1000)]
F(0.5)
Aim for clarity, not efficiency.
Solution to Exercise 8.1
class ECDF:
def __init__(self, observations):
self.observations = observations
def __call__(self, x):
counter = 0.0
for obs in self.observations:
if obs <= x:
counter += 1
return counter / len(self.observations)
# == test == #
from random import uniform
samples = [uniform(0, 1) for i in range(10)]
F = ECDF(samples)
print(F(0.5)) # Evaluate ecdf at x = 0.5
F.observations = [uniform(0, 1) for i in range(1000)]
print(F(0.5))
0.4
0.477
Exercise 8.2
In an earlier exercise, you wrote a function for evaluating polynomials.
This exercise is an extension, where the task is to build a simple class called Polynomial
for representing and manipulating polynomial functions such as
The instance data for the class Polynomial
will be the coefficients (in the case of (8.4), the numbers
Provide methods that
Evaluate the polynomial (8.4), returning
for any .Differentiate the polynomial, replacing the original coefficients with those of its derivative
.
Avoid using any import
statements.
Solution to Exercise 8.2
class Polynomial:
def __init__(self, coefficients):
"""
Creates an instance of the Polynomial class representing
p(x) = a_0 x^0 + ... + a_N x^N,
where a_i = coefficients[i].
"""
self.coefficients = coefficients
def __call__(self, x):
"Evaluate the polynomial at x."
y = 0
for i, a in enumerate(self.coefficients):
y += a * x**i
return y
def differentiate(self):
"Reset self.coefficients to those of p' instead of p."
new_coefficients = []
for i, a in enumerate(self.coefficients):
new_coefficients.append(i * a)
# Remove the first element, which is zero
del new_coefficients[0]
# And reset coefficients data to new values
self.coefficients = new_coefficients
return new_coefficients